Low temperatures can disrupt normal cellular functions, potentially causing cell rupture or death, affecting plant growth, or even leading to plant mortality. These effects are closely linked to the water status within plants. How do many cold-tolerant plants survive prolonged periods in freezing conditions? What form does their internal water take?

In temperate perennial herbaceous plants, winter survival mainly depends on root reserves rather than the concentration of non-structural carbohydrates at the shoot apex. Conversely, heat stress is the primary factor limiting grass growth during summer.
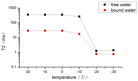
Plant water exists in two forms: free water and bound water. “Bound water” is chemically similar to free water, but while free water molecules are loosely arranged and mobile, bound water molecules are neatly organised around plant tissues, intimately “bound” to them.
The properties of bound water differ significantly from those of free water. For instance, free water begins to freeze at 0°C, whereas bound water freezes at much lower temperatures. During cold winters, plants mainly lose free water, while the quantity of bound water remains constant, increasing its relative proportion. Because bound water freezes at temperatures far below 0°C, cold-tolerant plants can withstand harsh winters with remarkable resilience.
Low-field nuclear magnetic resonance (NMR) allows non-destructive assessment of water status changes. The T1 and T2 relaxation times reflect molecular water mobility and serve as indicators of water dynamics in biological tissues. Since the mobility and properties of cell-associated water closely relate to cellular condition, NMR imaging effectively maps tissue physiology and can be used to study the hydrodynamics of cellular metabolism.

(1) T2 relaxation time profiles indicate that water status reflects both leaf and root cold- and heat-tolerance;
(2) Water content and restriction levels in roots and leaves are correlated with T2 relaxation times;
(3) Measuring T2 relaxation times demonstrates the supercooling ability of leaves at -20°C and roots at -10°C;
(4) Reduced water mobility in leaves may play a crucial role in responding to temperature stress;
(5) NMR imaging can visualise the freezing state across different tissues.
Phone: 400-060-3233
After-sales: 400-060-3233
Back to Top